根据《榆林大学艺术学院2026年硕士研究生招生复试实施细则》,经艺术学院研究生招生复试录取工作小组研究,现就我院设计专业硕士研究生调剂第一批复试事项通知如下。
一、复试资格及审核
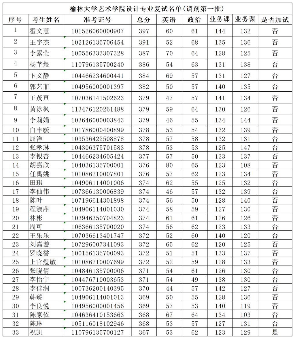
(一)复试名单

(二)资格审查
时间:2026年4月12日(星期日)8:00-9:00
地点:艺术楼302
考生资格审查时须提供:①身份证(原件及复印件);②准考证;③毕业证原件及《教育部学历证书电子注册备案表》(往届生);④学生证及《教育部学籍在线验证报告》(应届生);⑤《榆林学院硕士研究生招生思想政治素质和品德考核表》(附件1);⑥《诚信复试承诺书》(附件2)。
所有考生复试前须完成学籍学历校验,复试期间将进行严格的身份确认和资格审查,对不符合规定者,不予复试。
二、复试程序、内容及形式
(一)加试
1.加试对象
同等学力考生:获得国家承认的高职(专科)毕业学历满2年(从毕业后到录取当年入学之日)或2年以上的人员,以及国家承认学历的本科结业生。
2.加试科目

3. 加试分值:每门科目满分100分,任何一门加试科目成绩低于60分的考生视为不合格,不得进入后续复试环节。加试成绩不计入复试成绩。
4. 加试时间与地点:2026年4月11日(星期六)14:30-17:30;地点:艺术楼204教室
(二)复试
1.复试形式:
(1)采用现场复试的方式,考生须按指定时间来校复试。
(2)由复试小组采用提问、测试等形式进行。面试时间为每生不少于20分钟。
2.复试内容
(1)英语能力考核(50分):围绕考生英语应用能力与英语素养展开测评,重点考查考生运用英语开展口头表达的能力,同时兼顾对专业领域英语知识的掌握与运用水平。考核将从发音标准性、语言表达准确性、口语表达流利度三大核心维度,全方位衡量考生的英语口语应用与专业英语适配能力。
(2)专业能力考核(100分):为核心考核模块,重点通过考官与考生一对一专业知识的问答、作品深度解读相结合的方式,全面考核考生的设计专业综合水平与核心素养。(考生可携带个人设计作品集、各类设计实践成果、获奖证书及其他能够体现自身专业能力与科研水平的佐证材料,便于考官全方位衡量考生是否具备设计专业硕士阶段的学习与研究能力)。
(3)思想品德考核:思想品德考核具有一票否决权。考核内容包括考生的政治态度、思想表现、道德品质、遵纪守法、诚实守信等方面。
3.复试时间:2026年4月12日(星期日)9:00-18:00
4.复试地点:艺术楼302
(四)复试成绩计算办法
1.复试成绩按百分制计算,折算公式为:
复试成绩=(专业能力考核得分+英语能力考核得分)/150×100。
2.复试成绩低于60分者不予录取。
3.未完成或缺少任何一项复试科目的考生不予录取。
(五)考生总成绩计算方法
1.调剂考生总成绩=(考生初试成绩÷初试各科满分之和)×50%×100+考生复试成绩×50%。
2.总成绩采用百分制,保留小数点后两位(四舍五入),如保留两位小数点后有成绩相同的考生,需增加小数点后位数。
艺术学院研究生招生复试录取工作小组
2026年4月8日
作者: 艺术学院
初审:白云
终审:杨雨佳